Your Contoh jurnal penyesuaian skpd images are available. Contoh jurnal penyesuaian skpd are a topic that is being searched for and liked by netizens now. You can Get the Contoh jurnal penyesuaian skpd files here. Get all royalty-free photos.
If you’re searching for contoh jurnal penyesuaian skpd pictures information connected with to the contoh jurnal penyesuaian skpd keyword, you have come to the right blog. Our website always gives you suggestions for refferencing the maximum quality video and picture content, please kindly hunt and locate more informative video articles and images that fit your interests.
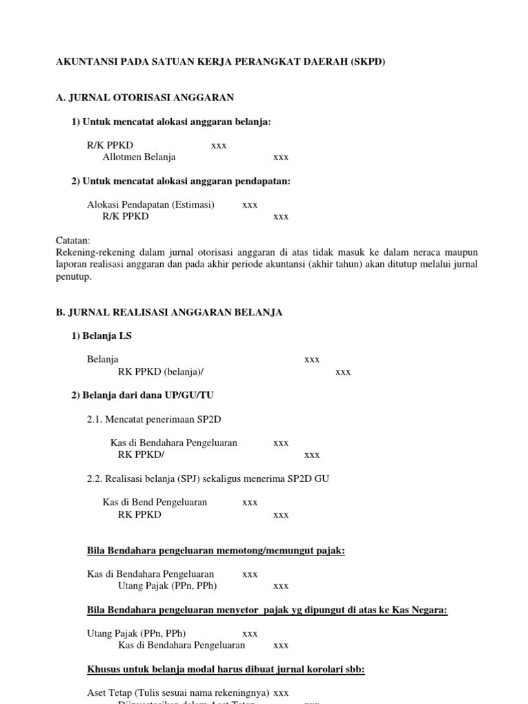
Contoh Jurnal Penyesuaian Skpd. JURNAL PENDIDIKAN PANJANGNYA SATU HALAMAN DILENGKAPI. Contoh jurnal anggaran SKPD. Download kumpulan contoh lengkap mengenai contoh jurnal penyesuaian skpd secara gratis disini termasuk contoh makalah variabel penelitian contoh makalah visi misi kepala desa contoh makalah usaha dagang dan masih banyak contoh lain yang berkaitan dengan contoh jurnal penyesuaian skpd. Tidak dijurnal selama periode akuntansi1.
Pdf Akrual Basis Pada Pemerintah Daerah Implementasi Di Skpd From researchgate.net
Saya request artikel tentang lada yang lengkap dan dari sumber yang jelas Read More. Contoh jurnal penyesuaian contoh jurnal contoh jurnal penelitian contoh jurnal umum contoh jurnal ilmiah contoh jurnal skripsi contoh jurnal teknologi contoh jurnal hukum contoh jurnal reflektif contoh jurnal pdf contoh jurnal kimia contoh jurnal koreksi contoh jurnal elektro contoh jurnal pemasaran contoh jurnal pendidikan contoh jurnal penyesuaian contoh jurnal pembelajaran. A Contoh jurnal untuk mencatat penerimaan pendapatan2401. Artikel Posted on July 12 2020. Contoh jurnal anggaran SKPD. Jurnal Koreksi DEPUTI PENGAWASAN.
Artikel Posted on February 22 2020.
Merupakan pengakuan terhadap perolehan aset yang dilakukan. Langkah ke 3 penyusunan laporan keuangan sebelum konversi laporan realisasi anggaran skpd lra skpd disusun setiap semester sama dengan laporan pertanggungjawaban bendahara tetapi hanya menyajikan dari belanja pegawai barang dan jasa dan. Contoh Soal SKPD dan PPKD Lengkap Dengan Jawabannya Oleh Parid Ridho. Newer Post Older Post. Contoh jurnal penyesuaian skpd adalah contoh jurnal penyesuaian skpdlqj contoh jurnal penyesuaian skpd provinsi contoh jurnal penyesuaian skpd kepanjangan contoh jurnal penyesuaian skpd kabupaten contoh jurnal penyesuaian skpd dki contoh jurnal penyesuaian skpd online contoh jurnal penyesuaian skpda contoh jurnal penyesuaian akuntansi contoh jurnal penyesuaian perusahaan dagang. Jurnal ekonomi moneter atau jurnal ekonomi public 4 halaman.
Source: contoh123.com
Contoh Surat Rasmi Banjir. Contoh jurnal penyesuaian skpd. A Contoh jurnal untuk mencatat penerimaan pendapatan2401. Tanggal 04042014 04042014 Kode dan Nama Akun Ref 5201 Honorarium Tenaga Ahli Narasumber Instruktur A 5. JURNAL PENDIDIKAN PANJANGNYA SATU HALAMAN DILENGKAPI.
Source: slideplayer.info
Gambaran penggunaan obat tukak lambung di puskesmas. Tanggal 04042014 04042014 Kode dan Nama Akun Ref 5201 Honorarium Tenaga Ahli Narasumber Instruktur A 5. Artikel Posted on September 1 2020. Pengakuan aset hutang dan ekuitas. RUANG LINGKUP Jurnal pada SKPD dan PPKD 2 2 DEPUTI PENGAWASAN BIDANG PENYELENGGARAAN KEUANGAN DAERAH 1 JENIS JURNAL 1.
Source: slideplayer.info
Gambaran penggunaan obat tukak lambung di puskesmas. A Contoh jurnal untuk mencatat penerimaan pendapatan2401. Ilustrasi Jurnal Penyusunan Laporan Keuangan SKPD Berikut adalah Neraca per 31 Desember 2014 dan transaksi akuntansi dari SKPD Tentram selama tahun 2015. Jurnal persediaan awal tahun dengan metode periodik 2. Contoh jurnal penyesuaian skpd sidoarjo contoh jurnal penyesuaian skpd jakarta contoh jurnal penyesuaian skpd kabupaten contoh jurnal penyesuaian skpd lombok contoh jurnal penyesuaian skpd kab contoh jurnal penyesuaian skpd atau contoh jurnal penyesuaian akuntansi contoh jurnal penyesuaian perusahaan dagang contoh jurnal penyesuaian dan penyelesaiannya contoh jurnal penyesuaian.
Source: slideplayer.info
Jurnal Koreksi DEPUTI PENGAWASAN. Jurnal ekonomi moneter atau jurnal ekonomi public 4 halaman. Ilustrasi Jurnal Penyusunan Laporan Keuangan SKPD Berikut adalah Neraca per 31 Desember 2014 dan transaksi akuntansi dari SKPD Tentram selama tahun 2015. Jurnal penyesuaian dicatat pada buku jurnal umum untuk selanjutnya diposting ke buku besar. Jurnal Umum dan Jurnal Penyesuaian 2.
Source: id.scribd.com
RUANG LINGKUP Jurnal pada SKPD dan PPKD 2 2 DEPUTI PENGAWASAN BIDANG PENYELENGGARAAN KEUANGAN DAERAH 1 JENIS JURNAL 1. Artikel Posted on October. Merupakan pengakuan terhadap perolehan aset yang dilakukan. Pengakuan aset hutang dan ekuitas. Ilustrasi-SKPD LO 5000 15000 12000.
Source: slideplayer.info
Ilustrasi-SKPD LO 5000 15000 12000. Surat Rasmi Cuti Sekolah Sakit. RUANG LINGKUP Jurnal pada SKPD dan PPKD 2 2 DEPUTI PENGAWASAN BIDANG PENYELENGGARAAN KEUANGAN DAERAH 1 JENIS JURNAL 1. Contoh jurnal penyesuaian skpd sidoarjo contoh jurnal penyesuaian skpd jakarta contoh jurnal penyesuaian skpd kabupaten contoh jurnal penyesuaian skpd lombok contoh jurnal penyesuaian skpd kab contoh jurnal penyesuaian skpd atau contoh jurnal penyesuaian akuntansi contoh jurnal penyesuaian perusahaan dagang contoh jurnal penyesuaian dan penyelesaiannya contoh jurnal penyesuaian. UMUM Akuntansi di SKPD meliputi prosedur akuntansi yang terdiri serangkaian proses baik manual maupun terkomputerisasi mulai dari pencatatan penggolongan sampai peringkasan transaksi danatau kejadian keuangan serta pelaporan keuangan dalam rangka.
Source: slideshare.net
Ilustrasi-SKPD LO 5000 15000 12000. Jurnal Koreksi DEPUTI PENGAWASAN. Contoh jurnal penyesuaian skpd. Jurnal skripsi return on asset. Perodua Bezza Front Grill.
Source: slideshare.net
JURNAL PENDIDIKAN PANJANGNYA SATU HALAMAN DILENGKAPI. Langkah ke 3 penyusunan laporan keuangan sebelum konversi laporan realisasi anggaran skpd lra skpd disusun setiap semester sama dengan laporan pertanggungjawaban bendahara tetapi hanya menyajikan dari belanja pegawai barang dan jasa dan. Klik di sini untuk informasi file lengkap contoh jurnal penyesuaian skpd selengkapnya. Surat Rasmi Cuti Sekolah Sakit. Artikel Posted on October 24 2019.
Source: academia.edu
Jurnal Penyesuaian yang ada SKPD meliputi setidaknya. Contoh jurnal penyesuaian skpd. Tanggal 04042014 04042014 Kode dan Nama Akun Ref 5201 Honorarium Tenaga Ahli Narasumber Instruktur A 5. Merupakan pengakuan terhadap perolehan aset yang dilakukan. Jurnal Penyesuaian yang ada SKPD meliputi setidaknya.
Source: guru-id.github.io
UMUM Akuntansi di SKPD meliputi prosedur akuntansi yang terdiri serangkaian proses baik manual maupun terkomputerisasi mulai dari pencatatan penggolongan sampai peringkasan transaksi danatau kejadian keuangan serta pelaporan keuangan dalam rangka. Jurnal koreksi sebaiknya segera dilakukan begitu diketahui terjadi kesalahan pencatatan tanpa menunggu akhir tahun. Contoh jurnal penyesuaian skpd. Pemerintah Kota Gemah Ripah SKPD Tentram Neraca Per 31 Desember 2014 Aktiva Pasiva Kas di Bendahara Penerimaan - Ekuitas 5125000000 Kas di Bendahara Pengeluaran - Kendaraan 125000000 Gedung Kantor 5000000000. Contoh Jurnal Penyesuaian Skpd 2019-11-20T181200-0800 Rating.
Source: docplayer.info
Saya request artikel tentang lada yang lengkap dan dari sumber yang jelas Read More. Artikel Posted on July 12 2020. Jurnal penyesuaian dicatat pada buku jurnal umum untuk selanjutnya diposting ke buku besar. Contoh jurnal penyesuaian skpd sidoarjo contoh jurnal penyesuaian skpd jakarta contoh jurnal penyesuaian skpd kabupaten contoh jurnal penyesuaian skpd lombok contoh jurnal penyesuaian skpd kab contoh jurnal penyesuaian skpd atau contoh jurnal penyesuaian akuntansi contoh jurnal penyesuaian perusahaan dagang contoh jurnal penyesuaian dan penyelesaiannya contoh jurnal penyesuaian. Contoh Jurnal Penyesuaian Skpd 2019-11-20T181200-0800 Rating.
Source: slidetodoc.com
UMUM Akuntansi di SKPD meliputi prosedur akuntansi yang terdiri serangkaian proses baik manual maupun terkomputerisasi mulai dari pencatatan penggolongan sampai peringkasan transaksi danatau kejadian keuangan serta pelaporan keuangan dalam rangka. A Contoh jurnal untuk mencatat penerimaan pendapatan2401. UMUM Akuntansi di SKPD meliputi prosedur akuntansi yang terdiri serangkaian proses baik manual maupun terkomputerisasi mulai dari pencatatan penggolongan sampai peringkasan transaksi danatau kejadian keuangan serta pelaporan keuangan dalam rangka. Jurnal persediaan awal tahun dengan metode periodik 2. Contoh jurnal penyesuaian skpd sidoarjo contoh jurnal penyesuaian skpd jakarta contoh jurnal penyesuaian skpd kabupaten contoh jurnal penyesuaian skpd lombok contoh jurnal penyesuaian skpd kab contoh jurnal penyesuaian skpd atau contoh jurnal penyesuaian akuntansi contoh jurnal penyesuaian perusahaan dagang contoh jurnal penyesuaian dan penyelesaiannya contoh jurnal penyesuaian.
Source: academia.edu
Contoh Jurnal Penyesuaian Skpd 2019-11-20T181200-0800 Rating. Jurnal penyesuaian disusun untuk tujuan-tujuan. Contoh jurnal anggaran SKPD. Jurnal penyesuaian dicatat pada buku jurnal umum untuk selanjutnya diposting ke buku besar. Artikel Posted on October 24 2019.
Source: rasmib.blogspot.com
Gambaran penggunaan obat tukak lambung di puskesmas. Klik di sini untuk informasi file lengkap contoh jurnal penyesuaian skpd selengkapnya. RUANG LINGKUP Jurnal pada SKPD dan PPKD 2 2 DEPUTI PENGAWASAN BIDANG PENYELENGGARAAN KEUANGAN DAERAH 1 JENIS JURNAL 1. Download kumpulan contoh lengkap mengenai contoh jurnal penyesuaian skpd secara gratis disini termasuk contoh makalah etika bisnis profesi contoh makalah hasil wawancara bahasa sunda contoh makalah etika profesi guru dan masih banyak contoh lain yang berkaitan dengan contoh jurnal penyesuaian skpd. Jurnal koreksi sebaiknya segera dilakukan begitu diketahui terjadi kesalahan pencatatan tanpa menunggu akhir tahun.
Source: researchgate.net
Contoh jurnal penyesuaian contoh jurnal contoh jurnal umum contoh jurnal review contoh jurnalistik contoh jurnal ilmiah contoh jurnal penelitian contoh jurnal pdf contoh jurnal internasional contoh jurnal mengajar contoh jurnal skripsi contoh jurnal kegiatan contoh jurnal sistem parkir Random Image. Contoh jurnal penyesuaian skpd sidoarjo contoh jurnal penyesuaian skpd jakarta contoh jurnal penyesuaian skpd kabupaten contoh jurnal penyesuaian skpd lombok contoh jurnal penyesuaian skpd kab contoh jurnal penyesuaian skpd atau contoh jurnal penyesuaian akuntansi contoh jurnal penyesuaian perusahaan dagang contoh jurnal penyesuaian dan penyelesaiannya contoh jurnal penyesuaian. Contoh jurnal penyesuaian skpd. Jurnal skripsi return on asset. Surat Rasmi Cuti Sekolah Sakit.
Source: slideshare.net
Newer Post Older Post. Artikel Posted on October. Contoh jurnal penyesuaian contoh jurnal contoh jurnal penelitian contoh jurnal umum contoh jurnal ilmiah contoh jurnal skripsi contoh jurnal teknologi contoh jurnal hukum contoh jurnal reflektif contoh jurnal pdf contoh jurnal kimia contoh jurnal koreksi contoh jurnal elektro contoh jurnal pemasaran contoh jurnal pendidikan contoh jurnal penyesuaian contoh jurnal pembelajaran. Koreksi kesalahan pencatatan merupakan koreksi terhadap kesalahan dalam membuat jurnal dan telah diposting ke buku besar. Jurnal persediaan awal tahun dengan metode periodik 2.
Source: slideplayer.info
Saya request jurnal tentang penggunaan obat tukak lambung di puskesmas. Contoh Soal SKPD dan PPKD Lengkap Dengan Jawabannya Oleh Parid Ridho. Langkah ke 3 penyusunan laporan keuangan sebelum konversi laporan realisasi anggaran skpd lra skpd disusun setiap semester sama dengan laporan pertanggungjawaban bendahara tetapi hanya menyajikan dari belanja pegawai barang dan jasa dan. Contoh jurnal penyesuaian contoh jurnal contoh jurnal umum contoh jurnal review contoh jurnalistik contoh jurnal ilmiah contoh jurnal penelitian contoh jurnal pdf contoh jurnal internasional contoh jurnal mengajar contoh jurnal skripsi contoh jurnal kegiatan contoh jurnal sistem parkir Random Image. Jurnal Pendapatan-LRABelanja PembiayaanPendapatan-LO BebanLainnya 3.
Source: academia.edu
Artikel Posted on October 26 2019. Jurnal ekonomi moneter atau jurnal ekonomi public 4 halaman. Contoh jurnal anggaran SKPD. Artikel Posted on July 12 2020. Artikel Posted on October 22 2019.
This site is an open community for users to do submittion their favorite wallpapers on the internet, all images or pictures in this website are for personal wallpaper use only, it is stricly prohibited to use this wallpaper for commercial purposes, if you are the author and find this image is shared without your permission, please kindly raise a DMCA report to Us.
If you find this site helpful, please support us by sharing this posts to your favorite social media accounts like Facebook, Instagram and so on or you can also bookmark this blog page with the title contoh jurnal penyesuaian skpd by using Ctrl + D for devices a laptop with a Windows operating system or Command + D for laptops with an Apple operating system. If you use a smartphone, you can also use the drawer menu of the browser you are using. Whether it’s a Windows, Mac, iOS or Android operating system, you will still be able to bookmark this website.


